Ο ΕΟΔΥ ανακοίνωσε 19.712 νέα εργαστηριακά επιβεβαιωμένα κρούσματα κορωνοϊού που καταγράφηκαν τις τελευταίες 24 ώρες, εκ των οποίων 1.697 εντοπίστηκαν στην Κρήτη
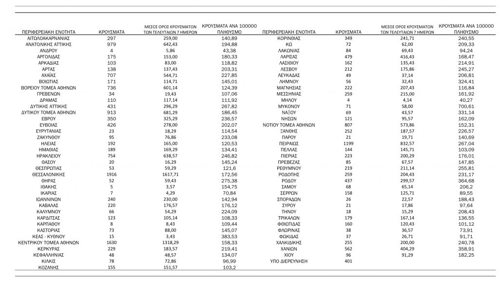
Ανάμεσα στα συνολικά 19.712 κρούσματα που ανακοίνωσε ο ΕΟΔΥ τα 1.697 καταγράφηκαν στην Κρήτη το τελευταίο 24ωρο.
Από αυτά τα 1.697 κρούσματα εντοπίστηκαν:
- Ηράκλειο 754
- Χανιά 562
- Ρέθυμνο 219
- Λασίθι 162

Ακολουθήστε το Cretanmagazine στο Google News και στο Facebook

































